用户工具

站点工具


侧边栏

google:job:inner-product

求内积最大的子数组

转载自 Go Calf, 部分公式替换为图片。

零、问题描述

之前在网上看到有好多人在讨论这道题,据说是一道Google的面试题。

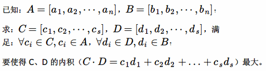
问题描述:有两个长度均为 n 的整数数组 A 和 B,现在要从这两个数组中各抽出 s 个数字,分别构成两个新的数组 C 和 D,要求数组 C 和 D 的内积最大。

用数学语言描述一下题目:

一、先考虑只有正数的情况:

当 s = 1 时,题目就退化成,从 n 个正整数中选取一个,从另外 n 个正整数中选取一个,使得乘积最大。显然,两次选取的都应该是那些数中最大的。

当 s > 1 时,我们分两步考虑,先考虑选取哪些数,再考虑这些数怎么配对。

1. 相信很多人都可以轻松地得出这样的结论:从 A 中选取最大的 s 个数构成 C,从 B 中选取最大的 s 个数构成 D,才有可能使得 C、D 内积最大。因为如果用A中的某个较小的数替换 C 中的任何一个数字,都会导致对应的乘积变小,从而整个内积变小。对于 D 也是类似的。

2. 对于选定的 C 和 D,如何配对呢?显然,应该让 C 中最大的数与 D 中最大的数相乘,C 中第二大的数与 D 中第二大的数相乘,以此类推。这个命题的证明也是很简单的,考虑任意两对数字:Ci < = Cj,Dk < = Dl,显然有

因此,如果 A、B 全部都是正整数,那只需要分别排序后,从大到小选取 s 个数即可。

二、接下来考虑只有负数的情况:

只有负数跟只有正数是类似的,因为两个负数相乘的结果与这两个负数的绝对值相乘是一样的。根据上面的分析,我们只要对 A、B 分别排序后,从小到大(即绝对值从大到小)选取 s 个数即可。

三、正数数组和负数数组

再考虑两个数组一个全是正数,另一个全是负数的情况:

不妨设 A 中全是正数,B 中全是负数。

  • 当 s = 1 时,题目就退化成,从 n 个正整数中选取一个,从另外 n 个负整数中选取一个,使得乘积最大。显然,两次选取的都应该是那些数中绝对值最小的(即最小的正数和最大的负数)。
  • 当 s > 1 时,还是分两步考虑。

1. 很容易证明,应该从两个数组中分别选取绝对值最小的 s 个数(即正数数组中最小的 s 个数,负数数组中最大的 s 个数)。因为如果剩余的任何数字替换进来,都会导致对应的乘积的绝对值变大,乘积本身变小,从而整个内积变小。值得注意的是,很多人在这里容易出错,他们没有考虑到乘积为负数时,绝对值越大,乘积本身越小。

2. 对于选定的 C 和 D,如何配对呢?根据上面【一、2.】中的式子可以知道,我们还是要让最大的那对数相乘,第二大的那对数相乘,……。这里需要注意,也是很多人容易出错的地方,最大的那对数是正数中的最大值(绝对值也最大)和负数中的最大值(绝对值最小)。与全是正数时不同的一点是,两个数组都是正数时,最大的那对数的乘积恰好也是最大的;但一正一负的时候,最大的那对数的乘积并不一定是最大,最小的一对数的乘积也不一定是最小,但他们累加起来一定是最大的。比如 [1, 2] 和 [-1, -2],正确的配对应该是2 * -1 + 1 * -2 = -4,而不是1 * -1 + 2 * -2 = -5。

四、正负数组合情况

几种特殊情况都考虑完了,最后就是正负数任意混合的一般情况。根据上面的分析,我们终归是要对 A 和 B 分别排序的,排序之后将两个数组的下标对齐,可以将两个数组分成三个部分,第一个部分中两个的数组元素都是负数(负数部分),第二个部分中一个数组元素都是负数而另一个都是正数(异号部分),第三个部分中两个数组的元素都是正数(正数部分),如下所示:

由于负数部分和正数部分都产生正的乘积,我们需要同时考虑这两个部分。每次从这两个部分各选出绝对值最大的一对数,将乘积更大的那对从 A、B 中转移到 C、D 中,然后继续比较。

如果负数部分和正数部分都取完了,还缺 m 对数,那就从异号部分选取最小的 m 个正数,和最大的 m 个负数,对应配对即可。

五、 Python 算法示意

def MinInnerProduct(A, B, n, s):
  if not len(A) == len(B) == n or not 0 <= s <= n:
    raise Exception('Invalid arguments.')
 
  A.sort()
  B.sort()
  (C, D, sum) = ([], [], 0)
  (i, j) = (0, n - 1)
 
  while len(C) < s:
    val1 = A[i] * B[i]
    val2 = A[j] * B[j]
    if val1 < 0 and val2 < 0:
      break
    if val1 >= val2:
      C.append(A[i])
      D.append(B[i])
      sum += val1
      i += 1
    else:
      C.append(A[j])
      D.append(B[j])
      sum += val2
      j -= 1
 
  j -= s - len(C) - 1
  while len(C) < s:
    C.append(A[i])
    D.append(B[j])
    sum += A[i] * B[j]
    i += 1
    j += 1
 
  return (C, D, sum)

算法的空间复杂度为 O(s),即用来存储 C、D 的空间;时间复杂度为 O(n log n)。

参考

google/job/inner-product.txt · 最后更改: 2011/11/27 03:31 (外部编辑)